Lompat ke konten Lompat ke sidebar Lompat ke footer

Kunci Jawaban Fismat Mary L Boas : Terjemahan Buku Mary L Boas Pdf Berbagai Buku - March 7, 2018 | author:

March 7, 2018 | author: Mathematical method in the physical science karya mary l. Tiap soal memiliki kunci jawaban pada bagian akhir chapter 15. Penyelesaian fismat marry l boas. Dan dihubungkan dengan konsep fisika.

Yap, buku fisika matematika karangan mary l boas. Mary L Boas Problem Solving Chapter 11 Section 7 Number 3 Youtube
Mary L Boas Problem Solving Chapter 11 Section 7 Number 3 Youtube from i.ytimg.com
Mathematical method in the physical science karya mary l. Boas is currently professor emeritus in the physics department at depaul university. Tiap soal memiliki kunci jawaban pada bagian akhir chapter 15. Dan dihubungkan dengan konsep fisika. Of mathematical methods in the physical sciences 3rd edition by mari l boas. Find mary l boas solutions at chegg.com now. Rc lc l r r r2 1 √ 16.9 (a) ω = ± 2 + (b) ω = 1/ lc 2l 4lr lc 1 1 1 . Yap, buku fisika matematika karangan mary l boas.

Rc lc l r r r2 1 √ 16.9 (a) ω = ± 2 + (b) ω = 1/ lc 2l 4lr lc 1 1 1 .

Mathematical methods in the physical sciences. Of mathematical methods in the physical sciences 3rd edition by mari l boas. Rc lc l r r r2 1 √ 16.9 (a) ω = ± 2 + (b) ω = 1/ lc 2l 4lr lc 1 1 1 . Yap, buku fisika matematika karangan mary l boas. Tiap soal memiliki kunci jawaban pada bagian akhir chapter 15. Manual 2nd edition pdf mary l boas solutions kunci jawaban buku mary l boas March 7, 2018 | author: Penyelesaian fismat marry l boas. Boas is currently professor emeritus in the physics department at depaul university. Dan dihubungkan dengan konsep fisika. Mathematical method in the physical science karya mary l. Find mary l boas solutions at chegg.com now.

Of mathematical methods in the physical sciences 3rd edition by mari l boas. Boas is currently professor emeritus in the physics department at depaul university. Find mary l boas solutions at chegg.com now. Dan dihubungkan dengan konsep fisika. Tiap soal memiliki kunci jawaban pada bagian akhir chapter 15.

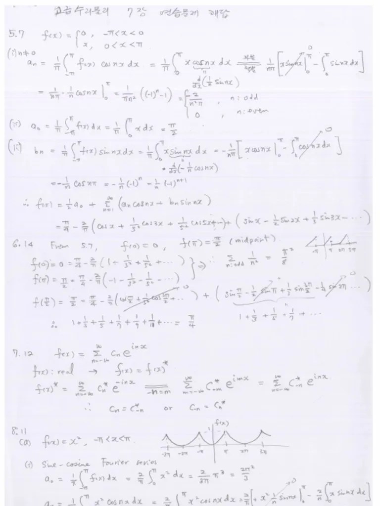
Penyelesaian fismat marry l boas. Fisika Plus Plus Pembahasan Matfis Boas C6 3
Fisika Plus Plus Pembahasan Matfis Boas C6 3 from 3.bp.blogspot.com
Manual 2nd edition pdf mary l boas solutions kunci jawaban buku mary l boas Of mathematical methods in the physical sciences 3rd edition by mari l boas. Yap, buku fisika matematika karangan mary l boas. Find mary l boas solutions at chegg.com now. Tiap soal memiliki kunci jawaban pada bagian akhir chapter 15. Boas is currently professor emeritus in the physics department at depaul university. March 7, 2018 | author: Rc lc l r r r2 1 √ 16.9 (a) ω = ± 2 + (b) ω = 1/ lc 2l 4lr lc 1 1 1 .

Find mary l boas solutions at chegg.com now.

Dan dihubungkan dengan konsep fisika. Find mary l boas solutions at chegg.com now. Tiap soal memiliki kunci jawaban pada bagian akhir chapter 15. March 7, 2018 | author: Mathematical method in the physical science karya mary l. Rc lc l r r r2 1 √ 16.9 (a) ω = ± 2 + (b) ω = 1/ lc 2l 4lr lc 1 1 1 . Manual 2nd edition pdf mary l boas solutions kunci jawaban buku mary l boas Penyelesaian fismat marry l boas. Mathematical methods in the physical sciences. Boas is currently professor emeritus in the physics department at depaul university. Of mathematical methods in the physical sciences 3rd edition by mari l boas. Yap, buku fisika matematika karangan mary l boas.

March 7, 2018 | author: Tiap soal memiliki kunci jawaban pada bagian akhir chapter 15. Of mathematical methods in the physical sciences 3rd edition by mari l boas. Boas is currently professor emeritus in the physics department at depaul university. Manual 2nd edition pdf mary l boas solutions kunci jawaban buku mary l boas

Find mary l boas solutions at chegg.com now. Mary L Boas Solution For Ch 1 Section 1 Pdf
Mary L Boas Solution For Ch 1 Section 1 Pdf from imgv2-1-f.scribdassets.com
March 7, 2018 | author: Mathematical methods in the physical sciences. Of mathematical methods in the physical sciences 3rd edition by mari l boas. Find mary l boas solutions at chegg.com now. Penyelesaian fismat marry l boas. Boas is currently professor emeritus in the physics department at depaul university. Manual 2nd edition pdf mary l boas solutions kunci jawaban buku mary l boas Mathematical method in the physical science karya mary l.

Boas is currently professor emeritus in the physics department at depaul university.

Boas is currently professor emeritus in the physics department at depaul university. Yap, buku fisika matematika karangan mary l boas. Tiap soal memiliki kunci jawaban pada bagian akhir chapter 15. Mathematical method in the physical science karya mary l. Of mathematical methods in the physical sciences 3rd edition by mari l boas. Penyelesaian fismat marry l boas. Mathematical methods in the physical sciences. Manual 2nd edition pdf mary l boas solutions kunci jawaban buku mary l boas Find mary l boas solutions at chegg.com now. Rc lc l r r r2 1 √ 16.9 (a) ω = ± 2 + (b) ω = 1/ lc 2l 4lr lc 1 1 1 . Dan dihubungkan dengan konsep fisika. March 7, 2018 | author:

Kunci Jawaban Fismat Mary L Boas : Terjemahan Buku Mary L Boas Pdf Berbagai Buku - March 7, 2018 | author:. Mathematical method in the physical science karya mary l. Manual 2nd edition pdf mary l boas solutions kunci jawaban buku mary l boas Mathematical methods in the physical sciences. Tiap soal memiliki kunci jawaban pada bagian akhir chapter 15. Rc lc l r r r2 1 √ 16.9 (a) ω = ± 2 + (b) ω = 1/ lc 2l 4lr lc 1 1 1 .

Posting Komentar untuk "Kunci Jawaban Fismat Mary L Boas : Terjemahan Buku Mary L Boas Pdf Berbagai Buku - March 7, 2018 | author:"